Quantize What Counts: More For Keys, Less For Values βοΈπππ’
- 1Case Western Reserve University
- 2Rice University
- 3Meta
TL;DR: Keys carry more information than values; consequently, key tensors require a larger quantization bit-width, smaller group sizes, and outlier mitigation (e.g., Hadamard transformation).
Abstract
Large Language Models (LLMs) suffer inference-time memory bottlenecks dominated by the attention KeyβValue (KV) cache, which scales with model size and context length. While KV-cache quantization alleviates this cost, bit allocation between keys and values is often tuned heuristically, lacking theoretical grounding and generalizability. This paper proposes two theorems that anchor mixed-precision KV quantization in the intrinsic geometry of Transformer models. First, key projections systematically have larger spectral and Frobenius norms than value matrices, implying higher information density along the key path. Second, for any given memory budget, prioritizing precision for keys over values strictly reduces quantization error and better preserves accuracy. Empirical evaluations across various prominent LLMs and benchmarks show that key-favored allocations (e.g., 4-bit keys, 2-bit values) retain up to 98.3% accuracy compared to uniform allocations (e.g., 4-bit for both), while conserving memory. These results transform bit allocation from ad hoc tuning into a theoretically grounded, geometry-driven design principle for efficient LLM inference. Source code is available at https://github.com/mohsenhariri/spectral-kv.
Theorem I. KeyβValue Norm Disparity Let and denote the key and value projection matrices in an attention block. Then
Theorem II. KeyβPrioritized Quantization Let denote the bit allocations for key and value caches under a uniform scalar quantizer. For any pair with , the expected inference accuracy is strictly higher than for the swapped allocation , provided that
Singular value distributions over layers



Ablations
Quantization bit-width impact
| Model | Shots | KβVβ | KβVβ | KβVβ | KβVβ |
|---|---|---|---|---|---|
| Llama 3.2-1B-it | 1 | 0.033 | 0.035 | 0.338 | 0.357 |
| 8 | 0.031 | 0.031 | 0.289 | 0.369 | |
| Llama 3.1-8B-it | 1 | 0.511 | 0.547 | 0.752 | 0.754 |
| 8 | 0.408 | 0.441 | 0.770 | 0.782 | |
| Phi 4-14B | 1 | 0.759 | 0.783 | 0.913 | 0.923 |
| 8 | 0.771 | 0.815 | 0.927 | 0.931 | |
| DeepSeek R1Q-14B | 1 | 0.772 | 0.775 | 0.865 | 0.867 |
| 8 | 0.763 | 0.792 | 0.876 | 0.875 |
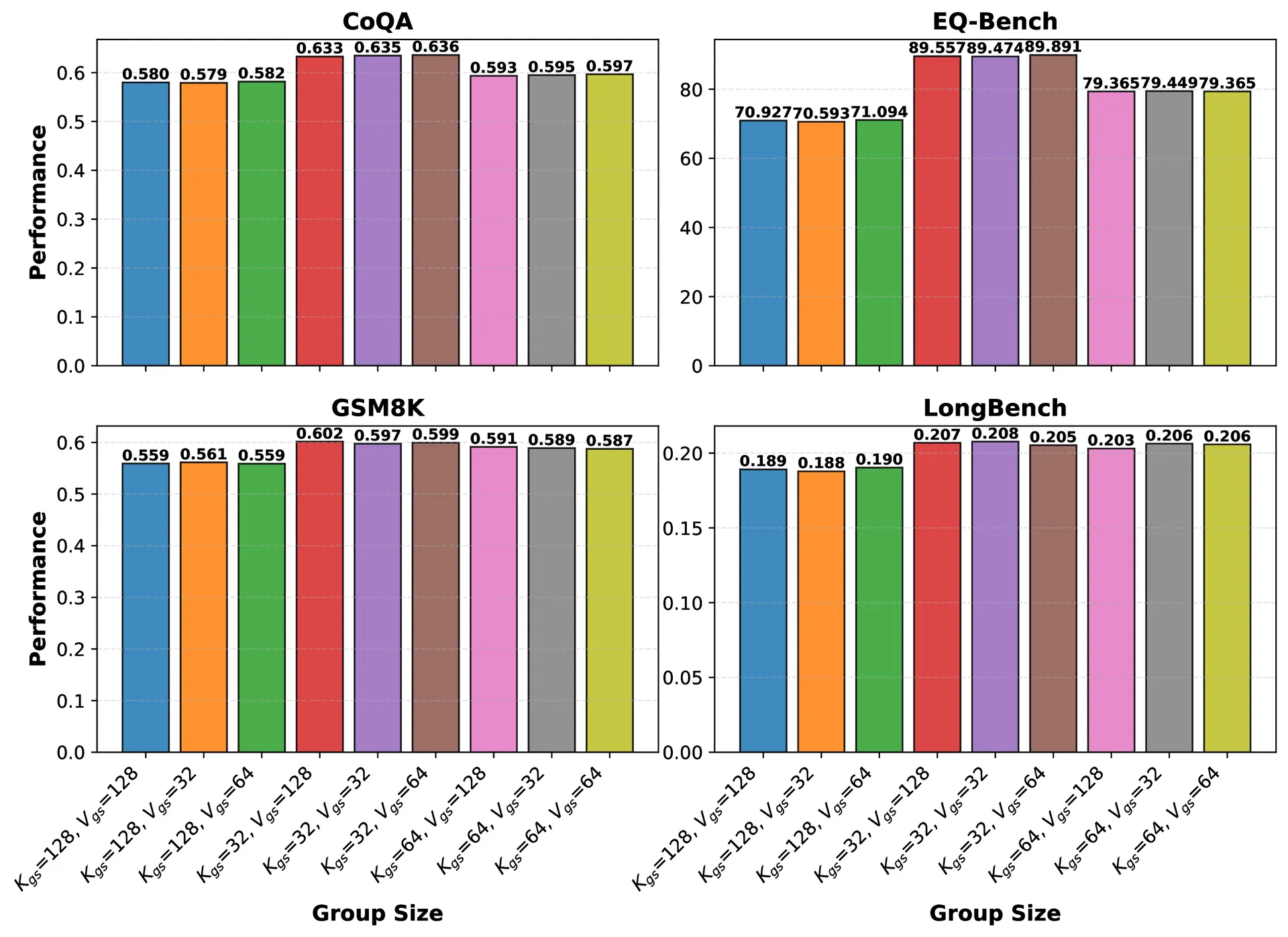
Group size impact

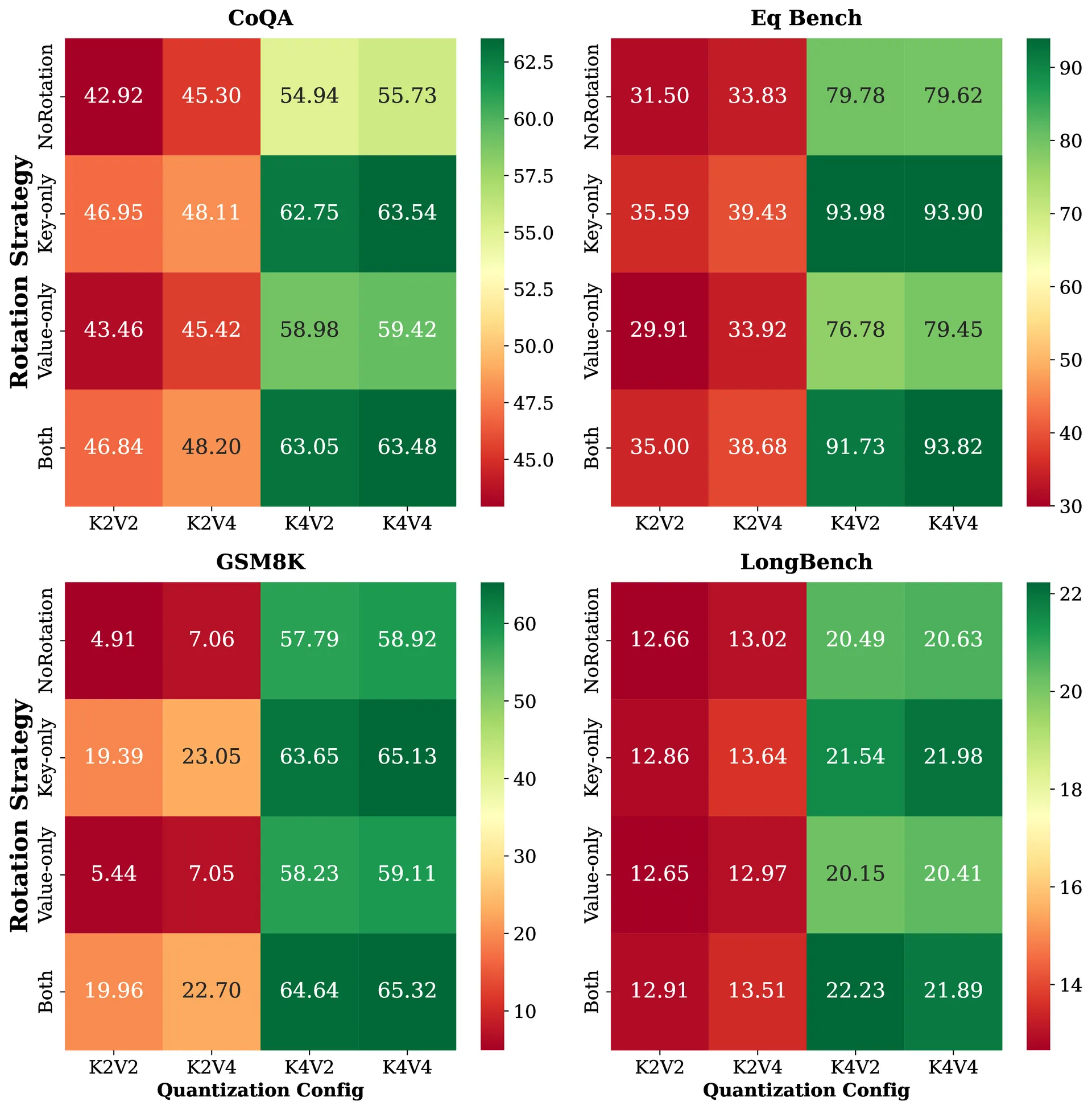
Rotation impact

Comments